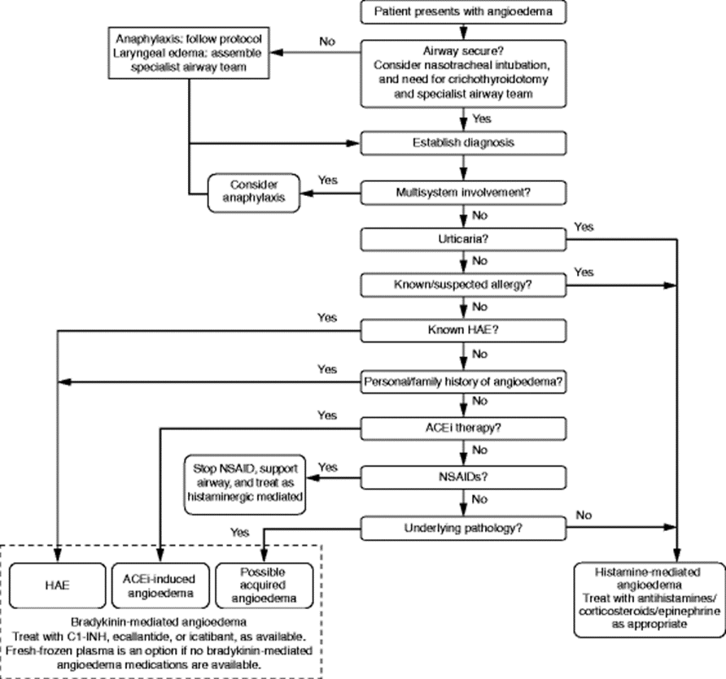
An elderly male with alcoholic cirrhosis and metabolic syndrome with long term ace-inhibitor use and recent initiation of alogliptin presenting with acute onset tongue swelling. He did not have any identifiable triggers prior to this including new foods/allergens/insect bites. He was admitted to ICU for airway monitoring. It is important to remember the type of angioedema as the treatment/management will differ. Symptoms that indicate a histamine mediated angioedema include urticaria, flushing, pruritis and bronchospasms. Symptoms that indicate a bradykinin mediated angioedema presents with lack of urticaria or skin rash. You should also ask for family history of episodic swelling or recurrent abdominal pain (angioedema can present in abdominal wall).
Differential diagnosis for bradykinin mediated angioedema includes:
- Hereditary angioedema
- Acquired angioedema
- Ace-I induced angioedema
Treatment for bradykinin mediated angioedema
- C1 esterase inhibitor replacement (plasma derived or recombinant types)
- Plasma kallirein inhibitor
- Bradykini-2 receptor antagonist
- FFP

